Please note that the exact dates of these manuals are unknown.
Description
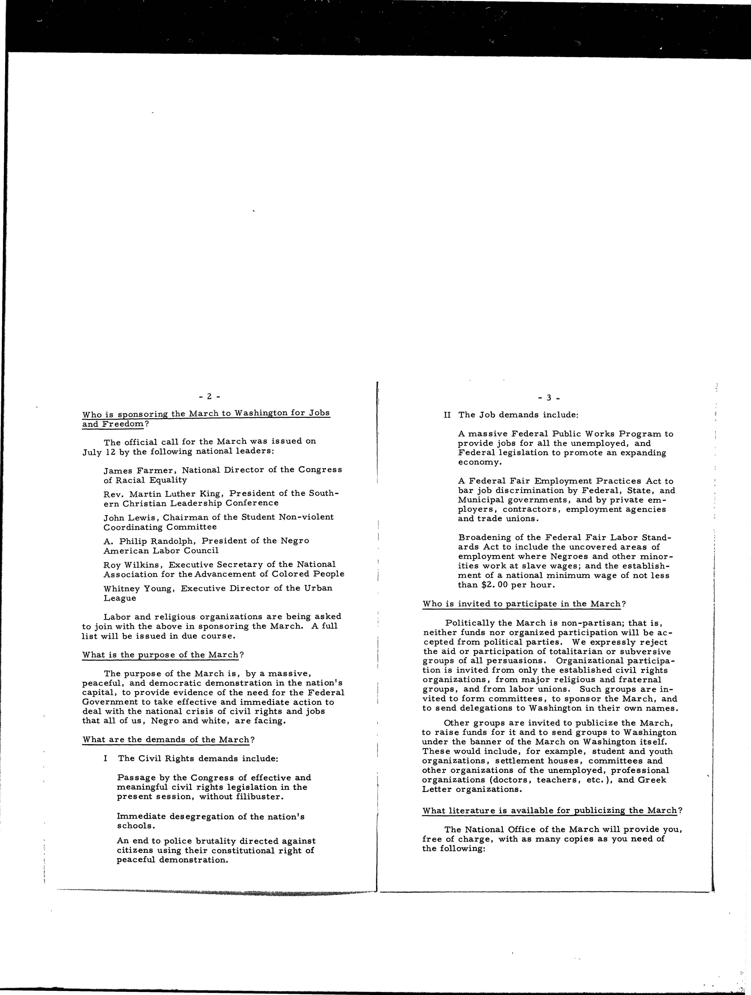
These manuals, issued by National Coordinator Bayard Rustin and Administrative Chairman Cleveland Robinson, functioned as the structural and moral backbone of the 1963 March on Washington for Jobs and Freedom. Far from mere administrative checklists, these guides translated a radical social vision into a disciplined, military grade operation designed to move over 100,000 people with absolute precision. Manual No. 1 focuses on the initial mobilization and the "Pledge" of personal commitment to non-violent protest and social justice. Manual No. 2 provides the final, corrected logistical orders, shifting assembly points directly to the Washington Monument and detailing the "new concept of lobbying" that prioritized mass witness over traditional backroom appeals.
The manuals demand a radical reconstruction of the American economy, listing ten specific mandates including a $2.00 national minimum wage, a massive federal public works program, and an immediate end to school desegregation. They also emphasize the "intergenerational" and "interracial" nature of the struggle, explicitly inviting labor unions and religious groups while rejecting any aid from subversive or partisan political entities. By providing specific instructions on everything from box lunches to transportation contracts, Rustin and his team ensured that the movement’s technical execution was as flawless as its moral message.
Interesting and Important Instructions
• The Unemployed Quota: Organizations were tasked with a specific goal to send one unemployed person to Washington for every three who could pay their own way, ensuring that those most affected by economic crisis were not priced out of the demonstration.
• The Food Protocol: Participants were warned to avoid perishable foods like mayonnaise or salads due to the August heat; the manuals specifically suggested a "simple and balanced" meal of peanut butter and jelly sandwiches, fruit, and plain cake.
• Identification and Branding: To maintain a unified and professional image, the National Office provided all placards and strictly forbade any other slogans or unofficial signs.
• Internal Policing: The movement provided its own force of 2,000 specially trained marshals to maintain order and security, operating an elaborate communications network to handle discipline independently of the Washington police.
• A "One Day" Mandate: Due to the sheer size of the crowd, the manual made it "imperative" that all 100,000+ participants arrive and depart on August 28th, discouraging overnight stays or the presence of children under 14.
Historical Context
The production of these manuals occurred amidst a profound "national crisis" born of the twin evils of racism and economic deprivation. In 1963, Negro unemployment was nearly three times higher than that of whites, a reality Rustin argued would lead to despair and violence if not addressed through immediate federal action. While the Centennial of the Emancipation Proclamation provided a symbolic framework, the actual political environment was hostile; reactionary Republicans and Southern Democrats were actively working to defeat civil rights legislation through the filibuster.
These manuals served as Rustin’s counter offensive to that hostility, demonstrating a level of organizational "sophistication" that challenged mid-century stereotypes of Black leadership. By coordinating with the U.S. Government and Washington police for security and comfort stations, the organizers proved they could manage a crowd equal to one third of the capital's population without incident. This strategic discipline was intended to show the nation that "Jobs and Freedom" were not merely requests, but requirements for the survival of American democracy.
March on Washington for Jobs and Freedom. Organizing Manual No. 1. New York: National Office, August 1963.
March on Washington for Jobs and Freedom. Organizing Manual No. 2: Final Plans. New York: National Office, August 1963.
